top of page

NJ Affordable Housing Legislation
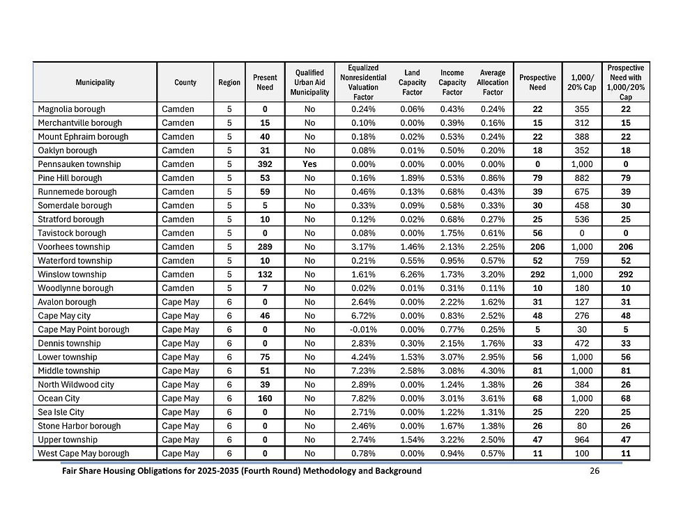
Below are the new obligations for each town.
TRENTON, NJ – The New Jersey Department of Community Affairs (DCA) today published the non-binding calculations of municipalities’ present and prospective need for affordable housing using a formula outlined in P.L 2024, Chapter 2. DCA carefully analyzed the data sources contained in the law and produced an analysis that provides a fair and accurate presentation of the affordable housing responsibilities established by the legislation that Governor Murphy signed in March 2024. The DCA calculations serve as guidance for municipalities as they plan for affordable housing development during
the next decade.






















bottom of page


